+91 96255-66843

Send us Email

Products
Search Products:

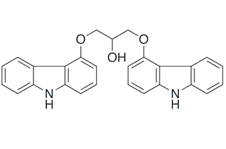
Carvedilol Biscarbazole Impurity

Product Code:

CLL/1013

CAS Number:

1276477-91-8

Molecular Formula:

C27H22N2O3

Molecular Weight:

422.48
Synonyms : 1,3-Bis(9H-carbazol-4-yloxy)propan-2-ol

Carvedilol 4-Hydroxycarbazole Impurity

Product Code:

CLL/1014

CAS Number:

52602-39-8

Molecular Formula:

C12H9NO

Molecular Weight:

183.21
Synonyms : 4-Hydroxy-9H-carbazole

Carvedilol Propanediol Impurity

Product Code:

CLL/1015

CAS Number:

123119-89-1

Molecular Formula:

C15H15NO3

Molecular Weight:

257.28
Synonyms : 3-(9H-Carbazol-4-yloxy)-1,2-propanediol.