+91 96255-66843

Send us Email

Products
Search Products:

Fluvastatin Related Compound B

Product Code:

FLN/1008

CAS Number:

129332-29-2

Molecular Formula:

C28H34FNO4

Molecular Weight:

467.58
Synonyms : [R*,S*-E]-(±)-7-[3-(4-Fluorophenyl)-1-methylethyl-1H -indol-2-yl]-3,5-dihydroxy-6-heptenoic acid 1,1-dimethylethyl ester.

Donepezil EP Impurity E

Product Code:

DZ/1024

CAS Number:

231283-82-2

Molecular Formula:

C24H24BrNO3

Molecular Weight:

454.36
Synonyms : 1-benzyl-4-[[(2RS)-5,6-dimethoxy-1-oxo-2,3-dihydro-1H-inden-2-yl]methyl]pyridin-1-ium Bromide.

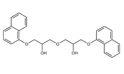
Propranolol Bis-ether Impurity

Product Code:

PPL/1004

CAS Number:

1236367-67-1

Molecular Formula:

C26H26O5

Molecular Weight:

418.50
Synonyms : 2-Propanol, 1,1`-oxybis[3-(1-naphthalenyloxy).