+91 96255-66843

Send us Email

Products
Search Products:

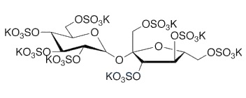
Sucralfate Impurity A

Product Code:

SLT/1001

CAS Number:

73264-44-5

Molecular Formula:

C12H14K8O35S8

Molecular Weight:

1287.53
Synonyms : Potassium (2R,3R,4S,5R,6R)-2-(((2S,3S,4R,5R)-3,4-bis(sulfonatooxy)-2,5-bis((sulfonatooxy) methyl)tetrahydrofuran-2-yl)oxy)-6-((sulfonatooxy)methyl)tetrahydro-2H-pyran-3,4,5-triyl tris(sulfate).

Tacrolimus Butenyl analogue

Product Code:

TLS/1013

CAS Number:

1262804-11-4

Molecular Formula:

C45H71NO12

Molecular Weight:

818.05
Synonyms : (3S,4R,5S,8R,12S,14S,15R,16S,18R,19R,26aS,E)-5,19-Dihydroxy-3-((E)-1-((1R,3R,4R)-4-hydroxy-3-methoxycyclohexyl)prop-1-en-2-yl)-14,16-dimethoxy-4,10,12,18-tetramethyl-8-(2-methylallyl) -5,6,8,11,12,13,14,15,16,17,18,19,24,25,26,26a-hexadecahydro-3H-15,19-epoxypyrido[2,1-c][1]oxa[4]azacyclotricosine-1,7,20,21(4H,23H)-tetraone

Riluzole Impurity A

Product Code:

RZL/1006

CAS Number:

1391054-04-8

Molecular Formula:

C8H5F3N2OS

Molecular Weight:

234.2
Synonyms : 2-Amino-5-(trifluoromethoxy)phenyl Thiocyanate