Product Code:
SBT/1009CAS Number:
2259708-00-2Molecular Formula:
C24H29NO5Molecular Weight:
411.5
Product Code:
RVN/1014CAS Number:
6843-36-3Molecular Formula:
C9H9NO3Molecular Weight:
179.2
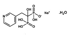
Product Code:
RRT/1006CAS Number:
353228-19-0Molecular Formula:
C7H12NNaO8P2Molecular Weight:
324.12