+91 96255-66843

Send us Email

Products
Search Products:

Sacubitril-(2R, 4R)-Isomer

Product Code:

SBT/1009

CAS Number:

2259708-00-2

Molecular Formula:

C24H29NO5

Molecular Weight:

411.5
Synonyms : 4-(((2R,4R)-1-([1,1`-Biphenyl]-4-yl)-5-ethoxy-4-methyl-5-oxopentan-2-yl)amino)-4-oxobutanoic acid

Rivaroxaban Impurity 30

Product Code:

RVN/1014

CAS Number:

6843-36-3

Molecular Formula:

C9H9NO3

Molecular Weight:

179.2
Synonyms : 2-(methyl carbamoyl)benzoic acid

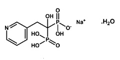
Risedronate Sodium Monohydrate

Product Code:

RRT/1006

CAS Number:

353228-19-0

Molecular Formula:

C7H12NNaO8P2

Molecular Weight:

324.12
Synonyms : Phosphonic acid, [1-hydroxy-2-(3-pyridinyl)ethylidene]bis-monosodium salt, monohydrate