+91 96255-66843

Send us Email

Products
Search Products:

28-epi-Rapamycin

Product Code:

RAY/1009

CAS Number:

253431-35-5

Molecular Formula:

C51H79NO13

Molecular Weight:

914.17
Synonyms : 28-epi-Rapamycin

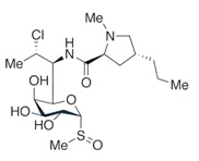
Clindamycin Sulfoxide

Product Code:

CYN/1014

CAS Number:

22431-46-5

Molecular Formula:

C18H33ClN2O6S

Molecular Weight:

440.98
Synonyms : 7-Chloro-1,6,7,8-tetradeoxy-6-[[[(2S,4R)-1-methyl-4-propyl-2-pyrrolidinyl]carbonyl]amino]-1-(methylsulfinyl)-L-throe-α-D-galactooctopyranose;

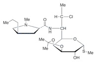
Isopropylidene Clindamycin

Product Code:

CYN/1015

CAS Number:

147650-54-2

Molecular Formula:

C21H37ClN2O5S

Molecular Weight:

465.05
Synonyms : (2S-trans)-Methyl 7-Chloro-6,7,8-trideoxy-3,4-O-(1-methylethylidene)-6-[[(1-methyl-4-propyl-2-pyrrolidinyl)carbonyl]amino]-1-thio-L-threo-α-D-galactic-octopyranoside;