+91 96255-66843

Send us Email

Products
Search Products:

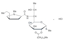
Lincomycin 2-Palmitate Hydrochloride

Product Code:

LMC/1007

CAS Number:

23295-14-9

Molecular Formula:

C34H65ClN2O7S

Molecular Weight:

644.95
Synonyms : (2S-trans)-Methyl 6,8-dideoxy-6-[[(1-methyl-4-propyl-2-pyrrolidinyl)carbonyl]amino]-1-thio-D-erythro-α-D-galactic-octopyranoside 2-Hexadecanoate Monohydrochloride;

Lincomycin Sulfoxide

Product Code:

LMC/1008

CAS Number:

22083-92-7

Molecular Formula:

C18H34N2O7S

Molecular Weight:

422.5
Synonyms : (2S,4R)-N-((1R,2R)-2-Hydroxy-1-((2R,3R,4S,5R,6R)-3,4,5-trihydroxy-6-((R)-methylsulfinyl)tetrahydro-2H-pyran-2-yl)propyl)-1-methyl-4-propylpyrrolidine-2-carboxamide

Erythromycin A 6,9-Imino Ether

Product Code:

AZC/1019

CAS Number:

99290-97-8

Molecular Formula:

C37H66N2O12

Molecular Weight:

730.93
Synonyms : [3R-(3R*,4R*,5S*,6R*,9R*,10S*,11S*,12R*,13R*,15R*)]-10-[(2,6-dideoxy-3-C-methyl-3-O-methyl-α-L-ribo-hexopyranosyl)oxy]-6-ethyl-4,5-dihydroxy-3,5,9,11,13,15-hexamethyl-12-[[3,4,6-trideoxy-3-(dimethylamino)-β-D-xylo-hexopyranosyl]oxy]-16-Dioxa-2-azabicyclo[11.2.1]hexadec-1-en-8-one;