+91 96255-66843

Send us Email

Products
Search Products:

Iso Cyclosporine H

Product Code:

CSR/1010

CAS Number:

83602-43-1

Molecular Formula:

C62H111N11O12

Molecular Weight:

1202.64
Synonyms : D-Valine, (2S,3R,4R,6E)-3-hydroxy-4-methyl-2-(methylamino)-6-octenoyl-(2S)-2-aminobutanoyl-N-methylglycyl-N-methyl-L-leucyl-L-valyl-N-methyl-L-leucyl-L-alanyl-D-alanyl-N-methyl-L-leucyl-N-methyl-L-leucyl-N-methyl-, (11→1)-lactone;

Roxithromycin EP Impurity I

Product Code:

RXM/1008

CAS Number:

425365-66-8

Molecular Formula:

C45H84N2O17

Molecular Weight:

925.15
Synonyms : (9E)-2'-O-[(2-Methoxyethoxy)methyl] Erythromycin 9-[O-[(2-Methoxyethoxy)methyl] oxime];

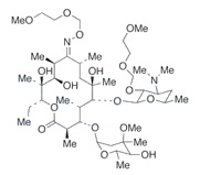
Roxithromycin EP Impurity J

Product Code:

RXM/1009

CAS Number:

134834-12-1

Molecular Formula:

C40H73ClN2O14

Molecular Weight:

841.47
Synonyms : Erythromycin 9-(E)-[O-[(2-chloroethoxy)methyl]oxime];