+91 96255-66843

Send us Email

Products
Search Products:

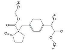
Methyl Ethyl Hydroxy Loxoprofen

Product Code:

LXF/1017

CAS Number:

1152440-23-7

Molecular Formula:

C19H24O5

Molecular Weight:

332.4
Synonyms : Ethyl 1-(4-(1-methoxy-1-oxopropan-2-yl)benzyl)-2-oxocyclopentane-1-carboxylate;

Tofacitinib N-Oxide

Product Code:

TCB/1006

CAS Number:

2028267-73-2

Molecular Formula:

C16H20N6O2

Molecular Weight:

328.38
Synonyms : (3R,​4R)​-4-​Methyl-​3-​(methyloxido-​7H-​pyrrolo[2,​3-​d]​pyrimidin-​4-​ylamino)​-​β-​oxo-1-​piperidinepropanenit​rile;

Loxoprofen Impurity 17

Product Code:

LXF/1018

CAS Number:

2891777-46-9

Molecular Formula:

C18H22O3

Molecular Weight:

286.37
Synonyms : 2-{4-[(3-isopropylidene-2-oxocyclopentyl)methyl]phenyl}propanoic acid