+91 96255-66843

Send us Email

Products
Search Products:

Vortioxetine Impurity 21

Product Code:

VTT/1023

CAS Number:

2172212-69-8; 1928741-88-1 (free base)

Molecular Formula:

C18H23ClN2S : HCl

Molecular Weight:

334.9 : 36.5
Synonyms : N1-(2-chloroethyl)-N2-(2-((2,4-dimethylphenyl)thio)phenyl)ethane-1,2-diamine hydrochloride.

Apixaban Impurity H

Product Code:

ABN/1019

CAS Number:

1421823-20-2

Molecular Formula:

C27H29ClN4O5

Molecular Weight:

525
Synonyms : Ethyl 6-[4-(5-chloropentanamido)phenyl]-1-(4-methoxyphenyl)-7-oxo-4,5,6,7-tetrahydro-1Hpyrazolo[3,4-c]pyridine-3-carboxylate; Apixaban Related Compound H;

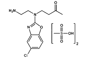
Suvorexant Impurity 34

Product Code:

SRX/1011

CAS Number:

1276666-12-6

Molecular Formula:

C15H24ClN3O8S2

Molecular Weight:

473.95
Synonyms : 4-((2-Aminoethyl)(5-chlorobenzo[d]oxazol-2-yl)amino)butan-2-one dimethanesulfonate