+91 96255-66843

Send us Email

Products
Search Products:

Cl-phenyltetrahydropyridine HCl

Product Code:

HLL/1014

CAS Number:

51304-61-1

Molecular Formula:

C11H13Cl2N

Molecular Weight:

230.13
Synonyms : 4-(4-Chlorophenyl)-1,2,3,6-tetrahydropyridine hydrochloride.

Bromo Phenylperidol Impurity

Product Code:

HLL/1015

CAS Number:

10457-90-6

Molecular Formula:

C21H23BrFNO2

Molecular Weight:

420.32
Synonyms : 4-[4-(4-Bromophenyl)-4-hydroxy-1-piperidinyl]-1-(4-fluorophenyl)-1-butanone.

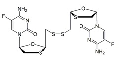
Emtricitabine Impurity I

Product Code:

EBN/1010

CAS Number:

1246819-86-2

Molecular Formula:

C16H18F2N6O4S4

Molecular Weight:

524.61
Synonyms : 1,1'-[Disulfanediylbis(methylene-(2R,5S)-1,3-oxathiolane-2,5-diyl)]bis(4-amino-5-fluoropyrimidin-2(1H)-one)