+91 96255-66843

Send us Email

Products
Search Products:

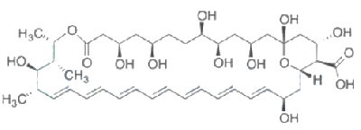
Amphotericin B Aglycon

Product Code:

AMH/1004

CAS Number:

106799-07-9

Molecular Formula:

C41H62O14

Molecular Weight:

778.93
Synonyms : (1R,3S,5R,6R,9R,11R,15S,16R,17R,18S,19E,21E,23E,25E,27E,29E,31E,33R,35S,36R,37S)-1,3,5,6,9,11,17,33,37-Nonahydroxy-15,16,18-trimethyl-13-oxo-14,39-dioxa bicyclo[33.3.1]nonatriaconta-19,21,23,25,27,29,31-heptaene-36-carboxylic Acid;

Phenylephrine Related Compound F

Product Code:

PPH/1006

CAS Number:

1007885-60-0

Molecular Formula:

C10H13NO2.HCl.H20

Molecular Weight:

179.2 : 36.5 : 18.0
Synonyms : (R)-2-Methyl-1,2,3,4-tetrahydroisoquinoline-4,8-diol hydrochloride monohydrate.

Semaglutide

Product Code:

SMG/1000

CAS Number:

910463-68-2

Molecular Formula:

C187H291N45O59

Molecular Weight:

4113.64
Synonyms : L-histidyl-2-methylalanyl-L-α-glutamylglycyl-L-threonyl-L-phenylalanyl-L-threonyl-L-seryl-L-α-aspartyl-L-valyl-L-seryl-L-seryl-L-tyrosyl-L-leucyl-L-α-glutamylglycyl-L-glutaminyl-L-alanyl-L-alanyl-N6-[N-(17-carboxy-1-oxoheptadecyl)-L-γ-glutamyl-2-[2-(2-aminoethoxy)ethoxy]acetyl-2-[2-(2-aminoethoxy)ethoxy]acetyl]-L-lysyl-L-α-glutamyl-L-phenylalanyl-L-isoleucyl-L-alanyl-L-tryptophyl-L-leucyl-L-valyl-L-arginylglycyl-L-arginyl-glycine