+91 96255-66843

Send us Email

Products
Search Products:

Terazosin EP Impurity D

Product Code:

TN/1005

CAS Number:

102714-74-9

Molecular Formula:

C15H19O3

Molecular Weight:

317.34
Synonyms : 4-Amino-6,7-dimethoxy-2-(4-formyl-1-piperazinyl)quinazoline

Terazosin EP Impurity E (USP RC C)

Product Code:

TN/1002

CAS Number:

102839-00-9

Molecular Formula:

C24H28N8O4

Molecular Weight:

492.53
Synonyms : 2,2'-(1,4-Piperazine-diyl)bis[6,7-dimethoxy-4-quinazolinamine]

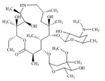
Azithromycin EP Impurity A

Product Code:

AZC/1001

CAS Number:

76801-85-9

Molecular Formula:

C37H70N2O12

Molecular Weight:

734.96
Synonyms : 9-Deoxo-9a-aza-9a-homo Erythromycin A