+91 96255-66843

Send us Email

Products
Search Products:

Esomeprazole Impurity Sulfone N-Oxide

Product Code:

OP/1007

CAS Number:

158812-85-2

Molecular Formula:

C17H19N3O5S

Molecular Weight:

377.42
Synonyms : 4-Methoxy-2-[[(5-methoxy-1H-benzimidazole-2-yl)sulphonyl]methyl]-3,5-dimethylpyridine-1-oxide

Citalopram Impurity 3-Oxo

Product Code:

CH/1001

CAS Number:

372941-54-3

Molecular Formula:

C20H19FN2O2

Molecular Weight:

338.38
Synonyms : (3RS)-6-Cyano-3-[3-(dimethylamino)-1-propyl]-3-(4-fluorophenyl)isobenzofuran-1(3H)-one

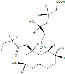
Simvastatin Impurity A

Product Code:

SS/1005

CAS Number:

101314-97-0

Molecular Formula:

C25H40O6

Molecular Weight:

436.58
Synonyms : (3R,5R)-7-(1S,2S,6R,8S,8aR)-8-[(2,2-Dimethylbutanoyl)-oxy]-2,6-dimethyl-1,2,6,7,8,8a-hexahydronaphthalene-1-yl]-3,5-dihydroxyheptanoic acid